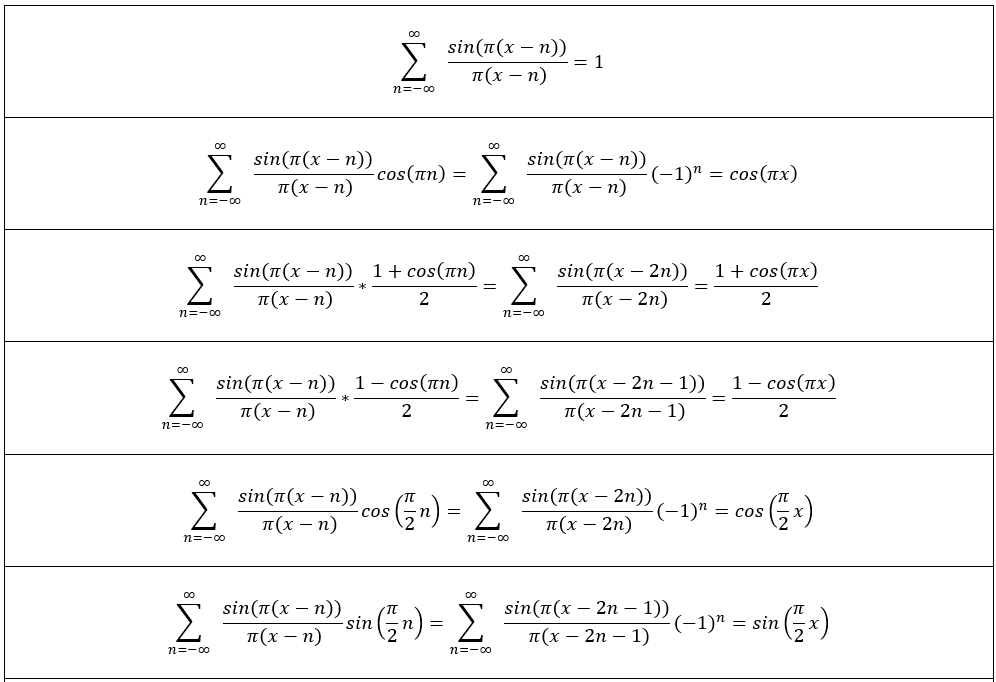
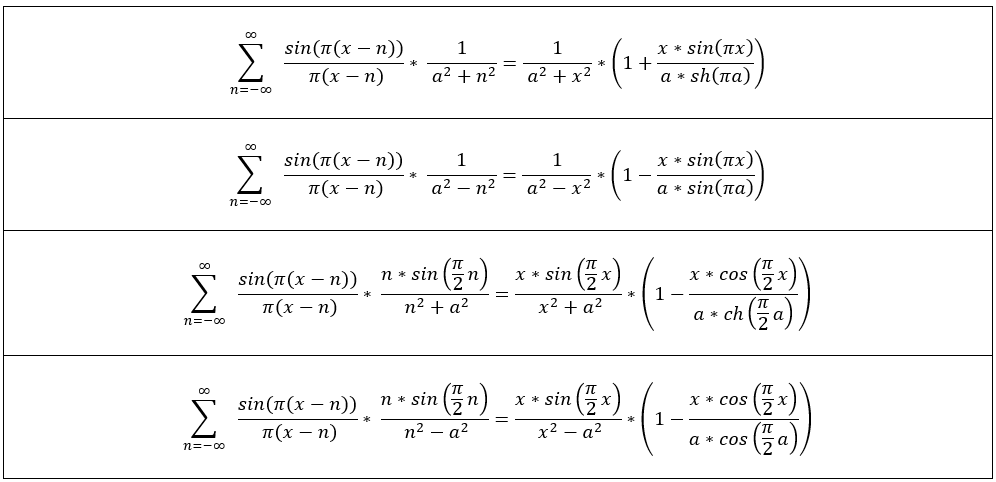
Ряды типа sin(x)/x





Наверх