Математические формулы


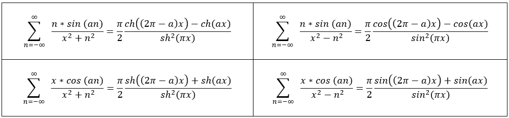
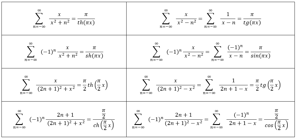
Некоторые ряды








Ряды Дирихле










Ряды Дирихле и функция Мёбиуса












Ряды Дирихле и функция Лиувилля










Обращения Мёбиуса








Формулы суммирования







Произведения




Разное








Наверх