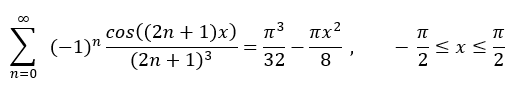
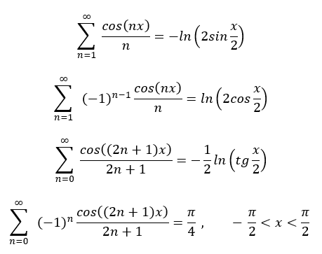
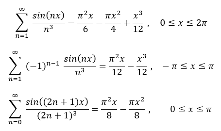
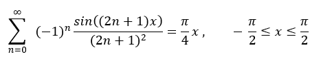
Ряды Фурье










Наверх